Auto HI-FI Club CZ

autohifi,auto hi-fi,auto hifi,autohificlub,auto hi-fi club,club, klub,fórum,autorádio,autozesilovač,autorádio cd,autorádio mp3,autorádio dvd, tuning,srazy,tuningshow,klub,emma,dbdrag,tuning,autotuning,carstyling, tlumeni, Alpine,octavia,Brax,Denon,Clarion,Pioneer,Sony,panasonic,Helix, Dynamat,dego,Hertz,Audison,Fusion,McIntosh,Focal,Rockford Fosgate,Dynaudio,JBL,xenony,becker,jvc,kenwood,ground zero,dietz,morel doorboardy ,zapojeni,felicia,pioneer,peugeot,zastavba,audio,306,repro,golf,instalace,dls,4x100,FELICIE,morpheus,helix,audi(forum)

o

Forum > Ostatní > matematika help ;-)

 o Navštíveno 1273x o
o 15.03.2012, 14:46 | michal_smsmsm (A)
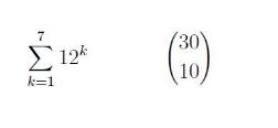
prosim prosim smutne koukam, dva vypocty bych potreboval, ty závorky vubec nevim co se po mne chce, a ta suma, tu bych jaks taks chapal, ale nejde mi do hlavy kdyz mam rozsah 1-7 tak jako ze mam 12^k jako ze 1^1 + 2^1 + 3^1 + 4^1 + 5^1 + 6^1 + 7^1 ? to je málo to nemuze tak byt. chapal bych kdyby byl zapis k^12, ale 12^k tomu nerozumim, kdyz je k=1. vysledkem obou zapisu by mely byt osmimistna cisla...

foto k příspěvku  od michal_smsmsm



o 15.03.2012, 14:52 | zipp
ta suma: k nabývá hodnot od jedničky do sedmičky, tzn, že musíš sečíst 12^1 + 12^2...+12^7

a to druhý je kombinační číslo...čte se to 30 nad desítkou
o 15.03.2012, 14:52 | zipp
tady máš, jak se to počítá:
[ Link ]
o 15.03.2012, 14:57 | michal_smsmsm (A)
AHA, tak to jsem to pochopil blbě celý :-) dík moc
o 15.03.2012, 15:04 | zipp
kdyby něco, tak se klidně ozvi
o 15.03.2012, 15:05 | michal_smsmsm (A)
mam to vyřešené, díky ;-)
o 15.03.2012, 15:06 | choze
Kuwa co to je :)
o 15.03.2012, 15:11 | walish
choze: nechodíš do Tipsportu? Tam se taky sází kombinátory, to máš to samé :))

sms: kdybys to počítal na kalkulačce, tak ke kombinačním číslům tam máš tlačítko nCp ;)
o 15.03.2012, 15:21 | Only_One
tak sem jsem se teda podíval uplně blbě.. :-D to je horší jak se naučit klingonštinu
o 15.03.2012, 16:34 | Veva
jako O_O :-D
o  Zpět  o  Nahoru
o
 

Vložit nový příspěvek do fóra


  Pro vložení příspěvku musíte být přihlášen/a.
Stránka vygenerována za 0.3265 sekund.